根据中国地质大学(北京)《关于2016级本科生推荐免试攻读硕士学位研究生工作的通知》(中地大京发〔2019〕64号)规定,保证推荐过程中的“公正、公平、公开”,特制订数理学院2016级本科生推荐免试攻读硕士学位研究生实施细则。
一、领导小组
组长: 高世臣
成员: 王凤香 王英滨 张自力 唐旭 王翠香 廉海荣
秘书: 姚禹彤
二、推荐原则
严格按照《中国地质大学(北京)推荐免试攻读硕士学位研究生暂行办法》进行推荐工作,遴选出学有所长、具有培养前途的优秀本科生。
三、推免生基本条件
1. 品学兼优,德、智、体全面发展,在校期间未曾受过任何处分。
2. 学习成绩优良,平均学分绩点不低于2.8,必修课程无不及格记录,英语四级考试成绩不低于425分。
3. 身体健康。
四、推选过程
1. 学生个人申请
凡申请免试攻读硕士学位研究生的“数学与应用数学”专业学生,应满足我校《推荐免试攻读硕士学位研究生暂行办法》,且学业成绩排名在本专业前30%者可以申请。
2. 推免资格确认
(1)具备推免条件的“数学与应用数学”专业学生,通过综合评价成绩排名确认推免资格。
(2)“创新实验班”学生只要必修课程无不及格记录,全部具有推免资格。
3. 综合评价成绩
学院对具有推免条件的学生以其平均学分绩点和其它特长给出综合评价成绩。综合评价由两部分得分(百分制)构成:学分绩点得分x,其它特长(包含科研、创新、专业综合等)得分y,然后按公式
P =0.8 x + 0.2 y
给出最终综合评价结果。
4. 学生排名
按学生的综合评价成绩进行排名,择优推荐。如综合评价成绩(精确到小数点后2位)相同,则按以下条件依次进行比较:
(1)平均学分绩点(不含公共选修课);
(2)获国际或国家发明专利;
(3)公开发表学术论文;
(4)学科竞赛获奖;
(5)市级以上三好学生、优秀学生干部;
(6)六级英语成绩;
(7)四级英语成绩。
五、 计分办法
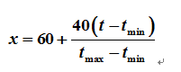
1. 学分绩点得分x按如下公式计算:

1
其中t是学生的平均学分绩点, tmin和tmax分别表示全部具备推免资格学生的最低和最高平均学分绩点。
2. 其它特长得分y的计算:
首先按本文件第六部分“特长加分规则”计算个人特长总分s,然后按如下公式将s换算成百分制得分y

2
其中smin和smax分别表示最低和最高的特长总分。
六、特长加分规则
特长加分规则包括五个方面的内容:学科竞赛加分、大创项目加分、发表学术论文加分、授权专利加分以及其它加分。具体加分规则如下:
⒈ 学科竞赛加分
(1)国际竞赛一等奖,加18分;
(2)国际竞赛二等奖、国家级竞赛一等奖,加15分;
(3)国际竞赛三等奖、国家级竞赛二等奖,加12分;
(4)国家竞赛三等奖、省部级竞赛一等奖,加9分;
(5)省部级竞赛二等奖,加6分;
(6)省部级竞赛三等奖、校级竞赛一等奖,加3分;
(7)校级竞赛二等奖,加2分;
(8)校级竞赛三等奖,加1分。
2. 大创项目加分
(1) 大学生创新创业训练计划项目结题评优一等奖,加10分;
(2) 大学生创新创业训练计划项目结题评优二等奖,加6分;
(3) 大学生创新创业训练计划项目结题,加3分。
注:如果以上竞赛获奖为无名次次序的集体成果,则由集体内全体成员共享该奖项的加分;如果以上竞赛获奖为有名次次序的集体成果,则第一名加相应奖项的满分,其他人的加分按照排名先后依次递减3分,不足1分的均加0.5分。
3. 公开发表学术论文加分
(1) SCI论文,加 100分;
(2) EI论文,加60分;
(3) 中文核心期刊论文、国外一般期刊论文,加30分。
注:①论文第一作者署名必须有“中国地质大学(北京)”。 ②多人署名的论文,前三名作者可加分,第一作者得满分;自第二作者开始,个人加分依次是前一作者加分的60%;③论文必须是已经出版的论文,录用通知等不予考虑;④核心期刊的界定以北大版《中文核心期刊目录总览》为依据。
4. 授权专利加分
(1) 国家或国际发明专利,加50分;
(2) 实用新型专利,加30分;
(3) 外观设计专利,加15分。
注:①专利的署名必须是“中国地质大学(北京)”; ②多人署名的专利,第一发明(设计)人得满分;自第二发明(设计)人开始,个人加分依次是前一发明(设计)人加分的60%;③只考虑已获授权的专利,处于公示状态的专利不予考虑。
5. 其它加分
(1)市三好学生、市优秀学生干部,加10分;
(2)校三好学生、校优秀学生干部,加8分。
注:本加分规则是一次性的,即无论有多少次获得三好学生、优秀学生干部称号,均只加分一次。
七、时间安排
1. 2019年9月9日前,学院公布推免研究生实施细则。
2. 9月9日-10日,学生提交《数理学院2016级本科生推荐免试硕士研究生申请表》及证明材料。
3. 9月11日-13日,学院审核,评定学生综合成绩。
4. 9月14日-17日,公示推免名单。
八、本实施细则由数理学院负责解释。
中国地质大学(北京)数理学院
2019年9月 6日
|